1080
量子线路
剧情简介
1905 年,被称为物理学的「奇迹年」,因为爱因斯坦在这一年中连续发表了 5 篇论文,每篇论文都像一颗耀眼的超新星照亮了宇宙,改变了物理学的纪元。
巨星登场
下面让我荣幸地介绍并邀请我们的一号男主角——阿尔伯特·爱因斯坦先生登场。虽然在各位的心目中,爱因斯坦的形象早已固化,乱蓬蓬的头发,满是皱纹的脸,经常叼着的烟斗,鹰一样深邃的眼神,在很多人的心目中这个老头代表的就是科学。
但是,爱因斯坦成为本书一号男主角的时候,可是一个只有 26 岁的英俊小伙子,完全不是你头脑中的那个形象。瞧瞧,这就是青年爱因斯坦。
下面是爱因斯坦应聘本书一号男主角时投递的简历:
姓名:阿尔伯特·爱因斯坦
性别:男
国籍:瑞士
年龄:26
婚姻:已婚
职业:专利局三级技术员
单位:瑞士伯尔尼专利局
学历:苏黎世联邦工业大学 物理专业 本科毕业
爱好:拉小提琴和思维实验
成就:没有(没结婚就要当爸爸了,不知道这个算不算)
如果这份简历被一个平庸的导演看到,不用想,肯定直接被扔进垃圾桶,桌上堆积如山的简历最次也是个博士的,教授、博导更是多如牛毛,怎么可能轮得上这个不知道从哪里冒出来的、专利局的一个小小的三级技术员呢?但是笔者向来不爱走寻常路,所以决定前往瑞士伯尔尼一探究竟。
作为未来人的好处就是我可以看到爱因斯坦,但是他却看不到我。我不会跟过去的世界产生任何交流,也无法影响过去的世界,我只是一个全能的观察者。(科学原理:假设此时你能突然出现在距离地球 100 光年外的地方,你拿起天文望远镜朝地球看,看到的就是 100 年前的地球,只要精度足够,你就能看清地球上 100 年前发生的事情的每一个细节。)
作为一个三级专利员,爱因斯坦的工作主要是审查提交过来的各种发明专利是否具备原创性,是否符合专利申请的标准。最近一段时间,爱因斯坦发现关于远距离对时方面的发明专利申请特别多。这是因为火车性能正在快速提高,这个钢铁机器居然比马车跑得还快,并且不知疲倦,只要不停地给它吃煤,它就能不停地跑,而你给马不停地吃草只能把它撑死。因为火车跑得太快了,所以就催生了一个新的需求,就是要求能远距离对时。
欧洲的各个城市之间还没有统一的时间标准,各个城市都拥有自己的地方时间,过去只有马车的时候,从一个城市到另外一个城市,只需要把自己的钟表根据当地的时刻调整一下即可,从来也没人觉得会遇到什么麻烦。但是火车出现后,情况可就变了,火车跑得那么快,如果两个城市之间的钟表时间不调到一致的话,那么在同一个铁轨上跑的多辆火车很可能就会撞在一起,因此,对时绝对不是一件小事。
此时,利用电磁波来通讯的无线电技术已经逐步趋向成熟。我们前文已经说过,电磁波的传播速度是光速,所以利用无线电来实现远距离对时就是一个很靠谱的想法。很多这方面的发明专利开始涌向伯尔尼专利局,爱因斯坦因为是物理专业毕业的,所以这类发明往往都会交给他来审查。小爱很敬业,也很细致,为了提高自己的业务水平,小爱也跟着要思考电磁波、光速、时间这方面的问题。但是最近小爱有点儿烦,他申请二级专利员的申请书被驳回了,理由是专业能力还不够,这也促使小爱必须多努力思考,提升业务水平。
第一个原理:光速不变
每当专利局的工作结束后,小爱总是不急于回家,而是坐在办公室,用自己写完的草稿纸卷起一根纸烟,点燃,深吸一口,往椅子上一靠,开始他的思考:
光为什么传播得那么快?因为它是一种电磁波;电磁波是怎么传播的呢?根据麦克斯韦那组漂亮的方程组可以看出来,振荡的磁场必然产生振荡的电场,而振荡的电场又必然产生振荡的磁场,如此循环下去就成了电磁波。
那么,我是不是可以这样认为,电磁波的传播速度正是第一个「振荡」引起第二个「振荡」的反应速度呢?嗯,没错,这就好像一队人站成一排报数一样,听到一的人报二,听到二的人报三……光速其实就是这个报数的传递速度,它和我们常见的小球或者火车的运动速度显然有很大不同。火车从这里运动到那里,就是火车这个实体的位置从这里移动到了那里,但是电磁波,也就是光,它的传播速度其实是「每一个报数的人,他们的反应速度」,真空充当的就是这个报数人的角色,而交替变换的电、磁场就是报出去的这个「数」。
1865 年,伟大的麦克斯韦在《电磁场的动力学理论》中证明过,电磁波的传播速度只取决于传播介质。到了 1890 年,第一个在实验室里发现电磁波的天才赫兹也明确地指出,电磁波的波速与波源的运动速度无关。麦克斯韦的方程组实在是太美了,我深信蕴含如此深刻数学美的理论一定是正确的。
电磁波的速度和波源的运动速度无关,也就是光速和光源的运动速度无关,让我来想象一下这是什么概念。当我朝平静的湖中扔下一颗石子,不管我是垂直地从上空扔下去,还是斜着像打水漂一样地扔过去,这颗石子产生的涟漪都应该以相同的速度在水中扩散出去。
我可不可以做这样的一个思维实验:假设我现在一个人在黑漆漆的宇宙中飞行,虽然我飞得跟光一样快,但是因为没有任何参照物,我感觉不到自己的速度,就我自己的感觉而言和静止是一样的。这时候如果我身边有一束光,或者一个电磁波,我将看到什么呢?一束和我保持静止的光吗?一个静止的电磁波吗?也就是看到一个虽然在振荡的电磁场,但是它却不会交替感应下去吗?哦,不,这显然违背了麦克斯韦的方程组,波的速度和波源的运动速度无关,虽然我在以光速飞行,不论是我自己用发生装置发生一个电磁波,还是我飞过一个电磁波发生装置,我看到的电磁波都应该是相同的,因为介质没有变。
我将看到一个振荡中的电场能够产生振荡的磁场,而一个振荡中的磁场又能够产生振荡的电场,这个交替反应绝不会停下来。再想象一下报数的情况,如果我和这队报数的人都在一节火车车厢中,火车高速行驶,但是我并不能感觉到火车是静止的还是运动着的,我会看到报数人的反应速度提高了吗?这也显然很荒谬,火车跑得再快也应该跟报数人的反应速度无关,我应该仍然看到它们以同样的反应速度传递着「一、二、三……」才对啊。
这么说来,光速应该相对于任何参照系来说,都是恒定不变的。哦,我这个想法实在有点疯狂,但是 mm 实验是怎么解释的呢?mm 实验得出的最直接的结论不就是光速不变吗?为什么我们首先要把这个简单的结论复杂化,想出各种各样的理论和假设来否定光速不变呢?为什么我不先承认这个实验结果是正确的,然后再去考虑怎么解释这个结果呢?
要解释 mm 实验为什么测量不到以太的存在,无非就是下面两种思路:
第一种思路:
假设一:以太是存在的。
假设二:因为某种原因,无法检测出以太。
结果:我们没有在 mm 实验中检测到以太。
第二种思路:
假设一:以太是不存在的。
结果:我们没有在 mm 实验中检测到以太。
根据奥卡姆剃刀原理,第二种思路更有可能接近真相,它需要的假设更少。
想到这里,爱因斯坦手上纸烟的烟灰掉落在地上,瞬间碎成一片。爱因斯坦从沉思中回过神来,对刚才的思考感到满意,他想这个问题已经不止一天两天了。他拿起笔在草稿纸上写下一句话:光速与光源的运动无关,对于任何参考系来说,光在真空中的传播速度恒为 c。写完他马上匆匆收拾东西回家,再不回去,老婆该冲他发火了。
第二个原理:物理规律不变
最近小爱被这些想法搞得有点兴奋,上班也不大有心思,脑子里都是这些关于光速的想法。小爱的思考如汹涌的潮水般朝笔者的思维中涌过来,让笔者应接不暇。在所有这些思考中,关于伽利略相对性原理的思考尤为精彩,而且是从另外一个思考角度出发,同样得到了光速必须不变的结论。让我们来一起听听小爱的思考:
伽利略相对性原理说的是,在任何惯性系中,力学规律保持不变。这一原理简洁而深刻,看起来是如此优美。但我想问的是,为什么上帝只偏爱「力学规律」呢?电磁学规律就会变吗?热力学规律就会变吗?这说不通。上帝一定是一个喜欢简单的老头子,他不想把问题复杂化。
我的想法是:在任何惯性系中,所有的物理规律都不变。对,就应该是不变的,如果在不同的惯性系中,普遍的物理规律是不同的,那么我们会看到什么?天文学家早就测算出来,我们居住的地球是以每秒钟 30 千米的高速绕着太阳公转,对我们地球上的每一个人而言,我们都坐在地球这个大火车中,那么物理规律在不同的空间取向上就应该不同才对,因为地球的运动方向每时每刻都在发生着变化。
换句话说,空间会有各向异性,我们做任何物理实验都不能忽略这个空间各向异性。但是,实际情况是怎样呢?我们从来没有想过,做一个赫兹的电磁实验要考虑实验室的朝向吧?如果有人告诉你:实验室的朝向将决定电磁实验的结果,你一定会觉得荒谬。对我们这个地球空间来说,哪怕是最小心的观察,也没有发现任何物理规律的不等效性,也就是没有发现任何空间各向异性的证据。
在我看来,mm 实验的实质就是对空间各向是否异性的检测。这是迄今为止对空间各向是否异性的检测精度最高的实验了,但即便是如此高精度的实验,也没有发现任何空间各向异性的证据,反而恰恰说明了伽利略的相对性原理应该被修正为:在任何惯性系中,所有物理规律保持不变。
伽利略曾经写过一个生动的故事,说如果在一艘大船的船舱中,你带上一些小飞虫,在舱内放上一只大水罐,里面养上几条鱼,再挂起一个水瓶,让水一滴一滴地滴到下面的水罐中。然后你观察飞虫的飞行,观察鱼的游动,观察水滴入罐。
但是不论你多细心地观察,你也不可能通过观察这些情况,来判断船是静止的还是处于匀速直线运动中(这个故事在我们中学的物理书中被称为「萨尔维柯蒂之船」)。同样,你试图用力学实验的所有方法来判断船的状态的行为也都是徒劳的,不管你做什么样的力学实验,都不可能判断出船的状态。
我的想法是,不仅是做力学实验不行,你在上面做任何物理实验,不论是光学、电学还是热学实验,都无法判断出船到底是静止的还是正在做匀速直线运动。上帝不偏爱任何物理规律,在惯性系中,众生平等。
这就是我爱因斯坦的相对性原理,它比伽利略的相对性原理更简洁、更深刻、更优美,我很难想象它会是错的。
根据这个原理,真空中的光速必定是恒定不变的,如若不然,我就可以通过做光速测量实验,来判断萨尔维柯蒂之船到底是静止的还是运动的。
小爱想到此节,立即拿出昨天那张稿纸,在昨天写的那句话下面又加上了一句话:「在任何惯性系中,所有物理规律保持不变。」写完他马上匆匆收拾东西回家了,再不回去,老婆又该冲他发火了。
这天晚上躺在床上,爱因斯坦失眠了,对妻子的暗示也置若罔闻,他满脑子都是草稿纸上的那两句话。说实在的,小爱觉得物理学中蕴含的奥秘比身边的妻子更值得迷恋,他心底里有点后悔大学时过于冲动,干了不该干的事情。但是总该对米列娃负责吧,想起自己的婚姻,小爱总是觉得有点无奈。这些东西还是别多想了,草稿纸上的两句话在爱因斯坦的脑袋中一遍遍地显现出来:
1.在任何惯性系中,所有物理规律保持不变(相对性原理)。
2.光在真空中的传播速度恒为 c(光速不变原理)。
这两句话就像一个魔咒,在小爱的脑中挥之不去:如果说我的思考是正确的话,这两个假设成立,那么到底意味着什么呢?如果一个人在一列以速度 v 行驶的火车上,用手电筒打出一束光,那么从站台上的人看来,这束光的速度难道不应该是 c+v 吗?但如果真的是 c+v 的话,明显又和我上面写的两句话相抵触。
看来我要么放弃简洁优美的相对性原理,要么放弃我头脑中对于速度的既有理解。如果一只小鸟也在车厢里以 w 的速度飞,那么站台上的人看来,小鸟的速度显然应该是 v+w,对这个观念,现在没有人会否认。
但是,凭什么我们对小鸟的结论硬要安在光的头上呢?我们对光速的认识太浅薄了,相对于光速,不论是小鸟还是火车,其速度都低得可以忽略不计。我们生活在一个速度低得可怜的世界里,在这个世界里总结出来的规律难道真的也可以适用于高速世界吗?在火车上的人和站台上的人看到的光速都仍然是 c,这个结论之所以让我们感到奇怪,是因为我们一厢情愿地把我们在低速世界的感受直接往高速世界延伸,但事实超出了我们的想象。我们应该果断地抛弃旧观念,接受新观念。
小爱不再纠结了,他决定接受光速恒定不变这个新观念,以此为基石,继续往下推演,看看到底会得到些什么结论。不论这些结论是多么的光怪陆离,至少应该有这个勇气往下想,再奇怪的结论都可以交给那些实验物理学家们用实验去检验真伪。
小爱想起了自己非常崇拜的古希腊数学家欧几里得,他写的《几何原本》一直是小爱少年时代最钟爱的书。欧几里得从 5 条公理、5 条公设出发,推导出了 23 个定理,解决了 467 个命题。这种从基本的几个公理出发,逻辑严密而又无懈可击的推导过程,让少年时期的小爱深深地感受到数学之美。他还记得当自己第一次亲手证明出三角形内角和是 180 度时候的兴奋,还记得自己苦苦推导了两个月,终于亲手证明了毕达哥拉斯定理(勾股定理)时的激动,这些小时候的事情历历在目。
「那么我是否可以从几何学的公理思想出发,把光速恒定不变作为基本公理,在此基础之上往下推导呢?」小爱想着想着,眼皮开始发沉,意识逐渐模糊起来。小爱睡着了,他做了一个梦,这个梦非常精彩。虽然小爱第二天起床以后把这个梦的情节忘记掉了,证据是在他以后的著作中再也没提到过梦中的情节,但是显然这个梦中的结论他没有忘记,证据是在他以后的著作中,他以另外一个不同的故事描述了同样的结论。但在笔者看来,小爱这个梦远比他自己后来写下来的故事要精彩得多,下面让我把小爱的这个梦记述下来:
环球快车谋杀案
凌晨五点,爱因斯坦卧室。
一阵急促的电话铃声惊醒了熟睡中的爱因斯坦,爱因斯坦从被窝中伸出一只手,拿起了电话:「喂,什么事?」
电话里传出声音:「警长,环球快车上发生枪击案,一死一伤,嫌犯受伤,请您速来现场!」
「我马上就到。」
爱因斯坦警长从床上蹦起,穿衣出门。
天刚蒙蒙亮,环球快车伯尔尼站,一列银白色的外形酷似鱼雷的火车停在站台上,车身上刷着一行标语:环球快车,一小时环球旅行。
现在,车站四周拉起了警戒线。
一位探员上来迎接爱因斯坦,他一边陪同爱因斯坦朝火车走去,一边介绍案情。
探员:「警长,我们 30 分钟前接到一位女士的报案,声称环球快车上发生枪击案。我们赶到现场的时候,发现两名男子分别倒在车厢的两头,其中一人头部中弹,当场死亡,另外一人只是手臂中枪,没有生命危险,目前正在列车上的医务室休息。他拒绝回答我们的问题,说一定要见到我们的上司才肯开口。案发当时除了这三人,该车厢没有其他人。」
爱因斯坦问:「那个报案的女士呢?」
探员:「报案的女士叫艾尔莎,是一位年轻漂亮的小姐,我们赶到时她正在给受伤男子包扎手臂。她声称枪击双方都是自己的朋友,其他的就不肯说了,也是要等您到才肯开口。」
发生枪击案的列车车厢中,三四名探员正在仔细勘查现场。
爱因斯坦看到死亡男子已经被搬离了现场,在他倒下的地方用白色粉笔勾勒出了一个人形,在车厢的另一头也用白色粉笔勾出了一双脚印,看位置可以想象出案发当时受伤男子坐在地板上,背靠着车厢壁。
爱因斯坦看到在列车中间的走道上,有一盏自制的电灯还在亮着,这盏灯跟普通的电灯没有什么两样,只是上面似乎多加了一个自动延时装置。
探员:「警长,这盏灯我们刚才已经试过了,在打开开关后,它会延迟五分钟再亮,不知道有什么用意。」
爱因斯坦没有回答探员,只是简单地说了声:「走吧,我们去医务室。」
列车医务室,艾尔莎坐在椅子上,表情忧郁。她边上坐着一位英俊的年轻男子,上臂靠肩的位置包扎着纱布,隐隐有血迹透出来,表情非常镇定。
爱因斯坦在他们对面的椅子上坐下来,对着年轻男子说:「我是爱因斯坦警长。」
男子:「我是泡利。」
爱因斯坦:「中枪的男子你认识吗?」
泡利:「认识,他叫狄拉克,我们是情敌。」
爱因斯坦转头看着艾尔莎,报以询问的目光。
艾尔莎忧郁地说:「是的。可惜我来晚了一步。」
爱因斯坦:「泡利,这么说,你和狄拉克先生是为了这位小姐在决斗吗?」
泡利:「是的,警长,我们在决斗,为了神圣的爱情。」
爱因斯坦问艾尔莎:「泡利先生和狄拉克先生同时爱上你,是这样吗?他们之前提到过决斗这回事吗?」
艾尔莎哭泣了起来:「他们总是在我面前争吵,逼我从他们中选一个,可是我实在不知道该选哪一个。昨天晚上,我看到他们俩留给我的信,说要在环球快车上决斗,让我嫁给胜利的一方。信上有他们的亲笔签名,我看到信以后立即往车站赶,终于在开车前一分钟登上了火车,但我不知道他们在哪节车厢,等我找到他们的时候,一切都已经晚了。」
爱因斯坦:「泡利先生,根据决斗法案,如果你能提供证据,证明你们俩之间的决斗是完全公平和自愿的,你将无罪。」
泡利从上衣口袋中拿出了一份文件,递给爱因斯坦,说:「这份文件是我们俩商定的决斗规则,有我们的亲笔签名,请过目。」
爱因斯坦接过文件,阅读起来。
泡利继续说:「我们的决斗规则是这样的——我和狄拉克分别站在车厢的两头,在我们的正中间放一盏灯,这盏灯在按下开关后,会延迟 5 分钟亮起。我们约定,当看到灯亮起的刹那,就可以互相开枪射击。我们站立的位置有脚印,可以证明我们距离灯的位置完全相同。」
爱因斯坦看完文件,想了一下,说:「光速是恒定的,这个规则看起来的确公平,但是必须要有证据证明你确实是在看到灯亮起后才开的枪,否则,你将被以一级谋杀罪指控。」
泡利:「这很容易,我们之所以选择在环球快车上决斗,就是因为环球快车上每节车厢都有全世界最先进的高速影像记录仪,只要调出记录仪的画面记录,就可以证明我是在看到灯亮以后才开的枪。」
一个探员在边上说:「警长,灯的位置我们已经仔细测量过,确实如泡利先生所说,离他们脚印位置的距离完全相等。」
爱因斯坦:「那么我们现在就一起去列车的影像记录仪室,当场查证。」
影像记录室。
一位工作人员正在屏幕前调阅影像,他一边操作仪器,一边对众人说:「该仪器是目前全世界最先进的影像记录仪,理论上它可以无限放慢画面,甚至连光的运动都能看得一清二楚。找到了,这个时点记录的画面就应该是案发当时的影像,警长你可以操作这个旋钮来前进或者后退画面。」
车厢中泡利和狄拉克两人正站在车厢的两头,手都放在腰间的枪套上,屏幕右下角显示:time:4︰15︰20︰345︰667
爱因斯坦轻轻地转动旋钮,屏幕右下角的数字跳动着。
只见车厢中间的灯泡上的灯丝慢慢地变红,渐渐地由红变黄,然后又由黄转白,接着整个灯丝突然被一个黄白色的光球包裹起来。
爱因斯坦知道此时灯亮了,他继续转动旋钮。 黄白色的光球迅速扩大,就像一个膨胀的气球。 爱因斯坦小心翼翼地转动着旋钮。 光球迅速膨胀开,一下子就把整个车厢都包裹进去了,整个车厢都被照亮。 所有人都看得很清楚,光球同时到达泡利和狄拉克所在的位置,到达的时候,双方的手都没有动。
【图 4-2】
从快车上看到的决斗现场
屏幕右下角的数字在跳动,但是整个车厢就跟定格了一样,等了很久,双方都没有动。
爱因斯坦:「怎么回事?」
工作人员:「请快进,警长!」
爱因斯坦一拍脑门:「是的,我怎么忘记了,人的反应在光速面前是多么微不足道。」
屏幕右下角的数字快速跳动起来。
终于,人们看到了两人几乎同时拔枪的画面,但泡利的动作稍稍快了一点点,两束火光从两把枪口冒出来,接着,两人都倒地了。
爱因斯坦按下停止键:「看来,事情都清楚了,泡利和狄拉克先生自愿决斗,决斗规则公平合理,双方也都遵守了规则,这样的话,泡利先生应该是无罪的。但我不是法官,我会把我的意见在法庭上陈述,在此之前,泡利先生必须被限制自由行动。」
爱因斯坦松了一口气,点上一支烟,走出列车,准备收工回家。
突然,他听到背后有人大声喊道:「警长,等一等。」
一个头戴礼帽的中年绅士急匆匆地从远处跑来。
中年绅士还没站定便大声说道:「警长先生,我是狄拉克的哥哥,我叫玻尔,请您别被无耻的杀人犯蒙骗了,我有证据证明这是泡利精心设计的一场谋杀。」
爱因斯坦:「您有什么证据?」
玻尔:「请跟我来警长,我有证据显示给您看。」 爱因斯坦:「我们去哪里?」 玻尔:「我的职业是环球快车的监控员,我得知弟弟出事的消息后,立即赶到了车站。哦上帝,真难以相信我的眼睛,我可怜的弟弟就这么轻易地被夺去了年轻的生命。泡利说这是一场公平的决斗,我刚开始也误信了,因为我也调阅了车厢里影像记录仪的画面,看到了当时的那一幕。从车厢记录仪的画面上来看,他们确实同时看到了灯光,并且都是在看到灯光之后才开的枪。但是我总有一种直觉,事情没有这么简单。我查找了枪案发生的那个时点,环球快车恰巧通过巴黎站,于是我就去调阅了巴黎站站台上的影像记录仪画面,那个站台也安装了这种最先进的影像记录仪。于是,我看到了完全不同的一幕。」
环球快车巴黎站的监控室。
玻尔熟练地操作着各种仪器,很快,画面被定格在了环球快车通过巴黎站的影像上,站台上的影像记录仪非常灵敏,从列车的窗户中可以清晰地看到车厢内的影像。
玻尔一边操作一边解说:「警长,请注意,泡利的位置在车尾方向,狄拉克的位置在车头方向。看,灯光亮起来了,警长,请注意,此时环球快车正以每小时 3 万千米的速度行驶着。你看,当黄白色的光球扩散开的时候,泡利是迎着光球的方向运动,而狄拉克刚好相反,他正朝着光球前进的方向运动。警长,我现在定格在这个位置,你看,在泡利与光球相遇的这个时点,光球还没有追上狄拉克。也就是说,泡利先看到了灯亮起,并不是像他所说的,两人同时看到了灯亮起。他是个无耻的杀人犯,他必须为我弟弟的死负责,他欺骗了我们,警长!」
【图 4-3】 从站台上看到的决斗现场 爱因斯坦看着影像记录仪中的画面,脑中一片空白,他感到有一个想法重重地击中了自己的大脑。短暂的眩晕之后,爱因斯坦恢复了神志,他把整个事件在脑子里回放了一下,一字一顿地说:「列车上的仪器记录的画面是真实的,没有造假;站台上的仪器记录的也是真实的画面,没有造假。从列车的角度来看,他们俩确实同时看到了灯光,这不难理解,因为在列车上看,灯泡发出的光球到达车头与车尾的距离相等,且光球射向两端的速度都为 c,所以光球同时与两人相遇。但从站台上看来,泡利却先于狄拉克看到灯光。这一切都是因为光速与光源的运动无关,也就是光速不变造成的。从这件事情上来说,时间也是相对的,对于列车上的人和站台上的人来说,没有真正的同时,任何所谓同时发生的事情,都只能是对在同一个惯性系中的人才成立的。」
玻尔:「警长,站台仪器记录的画面是确凿无疑的证据,泡利的决斗规则是不公平的,对泡利有利!他应该被指控一级谋杀罪。」
爱因斯坦:「玻尔先生,我只能把我的观点如实地陈述给法官,至于法庭怎么判断,我无权干涉。您提供的证据非常重要,我非常感谢您。」
说完,爱因斯坦转身离去,玻尔在后面生气地大声吼道:「阿尔伯特,你这个蠢货,你怎么能无视证据的存在,你给我醒醒!你给我醒醒!」
爱因斯坦突然感到很奇怪,玻尔的喊声怎么不见小呢?我在走远,但这喊声怎么越来越大了?爱因斯坦突然感到脸上一阵疼痛,他惊醒了。
只见米列娃站在床边又在准备打自己的脸,嘴里还叫着:「阿尔伯特,你今天怎么又睡过头了?快点,你这个懒猪,该去上班了,要迟到了!」
爱因斯坦一骨碌爬起来,跌跌撞撞地穿戴好,赶紧夹着公文包出门了。
同时性的相对性
小爱来到自己的办公室,打开抽屉,昨天那张稿纸还静静地躺在里面,自己写下的两句话赫然在目。他喃喃自语:「光速不变……光速不变到底意味着什么?」他恍惚记得昨天晚上似乎做了一个很精彩的梦,他努力想要回忆起梦中的情节,但是有点难,他只记得梦中似乎说过「时间是相对的,没有真正的同时」这样的话。
他还恍惚记得昨天晚上的梦跟火车有关。为了帮助回忆,小爱埋头在那张稿纸上画了一段铁路,又画了一个长方形表示火车,他又想起点儿什么,于是又在火车中间画了一个小人,他感觉就要想起来了。突然,局长哈勒(根据记载,哈勒也是物理爱好者,后来成了小爱的粉丝)的声音从门口传来:「阿尔伯特,客户来催前两天提交的那个申请了,你审查得怎样了?」小爱吃了一惊,用肚子朝抽屉一顶,迅速合上抽屉,局长刚好走进来。小爱赶忙说:「这就好了,局长。」
局长走了以后,小爱擦了一把汗,再次悄悄地打开抽屉。可是思路被打断后,他怎么也想不起来昨晚的梦了。但是幸好他还没忘记梦中得出的结论——没有什么真正的「同时」,车上的人认为是同时发生的事情,到了站台上的人的眼里,就不再是同时发生的。经过一番思绪整理,小爱想出了另外一个例子,它后来被小爱郑重地写入了那本广为流传的著作《相对论浅说》中,书中是这样描述的:
在铁路的路基上,雷电同时击中了相隔很远的 a 点和 b 点。如果我问你,这句话有没有意义时,你多半会不假思索地回答我说「有」。但是如果我让你解释一下这句话的准确意义时,你在经过一番思考后会发现,这个问题貌似不像原来想象的那么容易回答。
你很可能会这么回答我:「这句话的意思本来就很清楚,没有必要加以解释。」但这样的回答显然是无法让我满意的。那么我们这么想,如果有一个气象学家宣称他发现某种闪电总是能同时击中 a 点和 b 点,这时候总要提出一种实验的方法来验证他所说的对不对吧。对于严谨的物理学家来说,首先要给出一个同时性的定义,然后还得有实验方法能验证该定义是否能被满足,如果这两个条件没有达成的话,那么那个气象学家就是在自欺欺人了。
好了,经过一段时间的思考后,你提出了一个检验同时性的方法,你说:请把我放到铁路上 a、b 两点的正中间的位置,然后通过一套镜子的组合能让我看到 a、b 两个点;如果闪电发生之后,我能在同一时刻感觉到闪光,那么这两道闪电必定是同时击中了 a、b 两点。于是你提出同时性的定义,就是一个人能在同一时刻感受到闪电的闪光。我很高兴你能提出这个定义,当然这个定义的前提还得加上你在 a、b 两点的中点上。
好了,让我们想象一下:有一列火车正在铁轨上从 a 点开向 b 点,此时,你正站在 a、b 两点中间的路基上。突然,有两束闪电击中了 a、b 两点,过了一小会儿,两束闪光经过相同的距离到达你的眼里,你同时看到了它们,所以你毫不犹豫地认为这两束闪电是同时发生的。但是我们再设想一下:这次你站在了火车里,正从 a 点开向 b 点
【图 4-4】 行驶中的火车上的人会认为闪电并不是同时发生
当 a、b 两点被闪电击中时,你正好经过 a、b 两点的中点。你经过中点后,继续跟随火车向 b 点行进,因此在闪电光到达你眼睛之前的这点时间里,你又向 b 点前进(同时向 a 点远离)了一段距离,而因为 a、b 两点闪光的光速恒定不变,所以 b 点闪光一定会先于 a 点闪光到达你眼里。于是就出现了这样的结论:你认为这两束闪电以路基为参考系时是同时发生的,但是以火车为参考系时,对于火车上的你来说,却是先后发生的。
这是怎么回事呢?这说明「同时」也是相对的,当以路基为参考系时是同时发生的事情,但换成了以火车为参考系时,却不是同时发生的了,反之亦然。每一个参考系都有自己的特殊时间,如果不指明参考系,宣称一件事情同时发生是没有任何意义的。
这乍一听起来似乎很荒谬,在我之前的物理学家一直都在给时间赋予绝对的意义,而我却认为这种绝对的意义与我们前面讲的那个最自然的同时性定义并不相容,如果我们能坦然地抛弃我们对时间的绝对化的概念,则真空中光速恒定不变就会变得可以理解和接受了。
不知道各位读者是否听明白了爱因斯坦关于闪电击中铁轨的这个故事?不管你现在脑子是不是如堕五里雾中,一会儿在想那个环球快车,一会儿又在思考这个闪电的问题,总之爱因斯坦是在告诉我们这样一个重要概念:同时性的相对性。
我听到有几位已经理解的读者欢呼起来了:「哈哈,同时性的相对性,我想明白了!原来这就是相对论,不难理解啊!」
别急别急,相对论的大门只是刚刚打开了一条缝隙而已,同时性的相对性只是爱因斯坦运用相对性和光速不变这两条原理推出来的第一个结论。让我们跟随爱因斯坦的思维继续往下推导,马上就会有更多不可思议的推论出现在你面前,保证你会惊讶得嘴都合不拢。准备好了吗?这就开始我们的头脑风暴。
时间会膨胀
首先我们先想一下什么是「时间」,怎么定义这个词。你很快就会发现这个词很难定义,在做了各种试图定义它的尝试之后,我们不得不承认,我们总是会陷入不得不用时间来定义时间的逻辑怪圈。最后会发现,借助一个外部衡量工具来描述时间,可能是一个避免落入逻辑怪圈的最好方法。
比如说一个钟摆,摆动一个来回我们就认为这代表过去了一秒,但是钟摆这种东西不够精确,误差太大,我们不能对这样的外部衡量工具满意。现在,让我们借助强大的思维实验和光速不变原理来构造一个宇宙中最理想、最精确的计时器,我把这个计时器叫作「光子钟」。下面看一下这个光子钟长什么样:
【图 4-5】 光子钟原理图
这个光子钟的构造非常简单,但是很实用。上下两面镜子相距 15 厘米,中间有一个光子可以在两面镜子中间来回地反射折腾。光子在两面镜子中间来回弹一次,可以想象成「嘀嗒」一声。
我们已经知道光速是恒定不变的 30 万千米/秒,那么就很容易计算出,这个「嘀嗒」一下的时间是十亿分之一秒,换句话说,「嘀嗒」10 亿次就代表时间走过了 1 秒。现在有了这个强大的光子钟,就不需要太纠结于时间的定义了,于是我们达成共识,通过「嘀嗒」的次数来衡量和比较时间这个虚无缥缈的东西。
好了,现在你拿上这个光子钟坐上宇宙飞船,发射,你飞了起来。而我也拿着一个光子钟,站在地面上,看着你的宇宙飞船从眼前飞过。注意,既然是思维实验,我就想象我拥有神奇的能力,能够看清你手上那个光子钟的情况。现在我把这个情况画出来,你看是不是这样:
【图 4-6】 地面上的观察者看到的宇宙飞船中的光子飞行路线比地面上的要长
请开动你的脑筋,我保证本书中需要你像现在这样动脑子的地方很少,但无论如何这都是最关键的一次,这次想明白了,以后别处再遇到类似的图全部都可以轻松跳过,扫一眼就知道怎么回事。
当我手上的光子钟在来回折腾时,你的飞船就会从 a 位置飞到 b 位置,那么我将会看到你手上那个光子钟里面的光子走过的是一条斜线。这是显而易见的,如果光子飞过的路径在我眼里不是斜线的话,光子必定飞到光子钟外面去了。现在我们运用光速不变原理来看一下,由于宇宙飞船上的光子飞行的路线比我手里的光子更长了,那么也就意味着,当我手里的光子钟「嘀嗒」一次的时候,飞船上的光子钟还来不及「嘀嗒」一次呢。
换句话说,当我手里的光子钟「嘀嗒」了 10 亿次的时候,我看到飞船上的光子钟可能只「嘀嗒」了 5 亿次(打个比方,不要纠结 5 亿次是怎么算出来的)。根据我们前面已经达成共识的对时间最自然的定义,我得出这样的结论:在宇宙飞船上,你的时间过得比我慢!
或许你还是觉得不放心,你会想:「你用的是光子钟这种我从来没见过的东西,我还是对我自己的劳力士比较放心一点。」
好吧,那么我们现在就拿你的劳力士来做实验吧,我们把飞船也换成你更熟悉的火车,这样你就更放心了吧。现在你坐在一列火车里,左手一只钟(光子钟),右手一只表,火车在做着匀速直线运动,窗户外面黑漆漆一片,你完全不知道自己是静止的还是运动的,那么你觉得你能用观察光子钟或劳力士的走时情况,来知道火车是静止的还是开着的吗?
根据我们前面已经阐述过的爱因斯坦的相对性原理(在任何惯性系中,所有物理规律保持不变),你不可能靠任何实验的方法来确定自己的运动状态。反过来想,在一间密闭的车厢中,如果你能观察到光子钟和山寨劳力士走时忽然一样,忽然又不一样,那才是咄咄怪事呢。
我们在这里谈论的是时间本身变慢了,不是任何机械的或者化学的原因,就是时间本身变慢了,与时间有关的一切都变慢了,用一个很酷很形象的说法就是——时间膨胀了。还是回到刚才那个宇宙飞船的实验,在地面上的我会看到,不光是你的光子钟变慢了,你的动作、你眨眼的速度、你的新陈代谢、你一切的一切都变慢了。
于是,你现在开始感到震惊了。趁着你现在精神好,赶紧让我们来计算一下,时间变慢的尺度和飞船的速度是什么关系呢?这个计算要用到我们非常熟悉的勾股定理,直角三角形的两个直角边和斜边的关系式:a2+b2=c2。
我们把刚才那个你坐宇宙飞船的景象再次画出来:
【图 4-7】 利用勾股定理可以推导出相对论因子
我在上面画了一些辅助线,并且用一些字母来表示飞船上经过的时间、地面上经过的时间、飞船相对于地面的速度和光速。注意那个 t 和 t',我们曾经在本书刚开始没多久见过这个一撇。上面那个三角形的两个直角边分别是 vt』和 ct 我估计你很容易理解,只是斜边为什么是 ct』呢?这就是说从我(地面上的人)的角度来观察的话,光子以恒定速度 c 在地面上经过的时间 t』走过的距离刚好是那个直角三角形的斜边。下面我们利用勾股定理写出这样一个等式。
(ct')2=(ct)2+(vt')2
接下来我们用一点最基础的方程变换的知识,来做点公式变形,我们的目的是要算出以地面为参考系时飞船上经过的时间 t 和地面上经过的时间 t』之间的关系式:
第一步,先把括号都去掉:
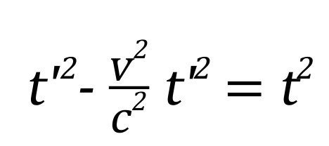
c2t' 2=c2t2+v2t'2
第二步,两边同时减去 v2t'2
c2t' 2-v2t' 2=c2t2
第三步,两边同时除以 c2
最后一步,整理成最终形式
结束。
如果你顺着我上面的步骤一步步下来,毫无阻碍地得到了最终形式,那么请你深吸一口冷气,因为你发现了这个宇宙中一个最深刻的奥秘,这是迄今为止让人类第一次感到深深震撼的等式,这一刻,我们根深蒂固的时间观念崩塌了。
让我们凝视这个等式十秒钟,解读一下它的含义。
当 v 的速度相比光速很小的时候(比如汽车、火车甚至飞机速度都不及光速的百万分之一),则
约等于 1,这个公式就退回到了我们熟悉的伽利略变换式 t=t『,但如果我们的速度能达到光速,则 t』 等于无穷大。
时间等于无穷大?怎么理解?
这就是说随着运动速度的增加,时间会变得越来越慢,最后慢到了停止的地步。假如我们的速度能超过光速呢?那就不得不面临一个负数的平方根,大家知道这叫虚数。
那这个虚数用在时间上表示什么?难道这就是传说中的穿越?
哦,不,这不代表时光倒流,虚数没有现实意义,事实上我们后面马上就要证明达到或者超过光速都是不被允许的,本书将在第五章跟大家讨论关于时空穿越的可能性,但那也绝不是通过超光速来实现的。请不要着急,这次奇妙的时空旅程才刚刚开始,还有很多奇景等待你前去观赏。
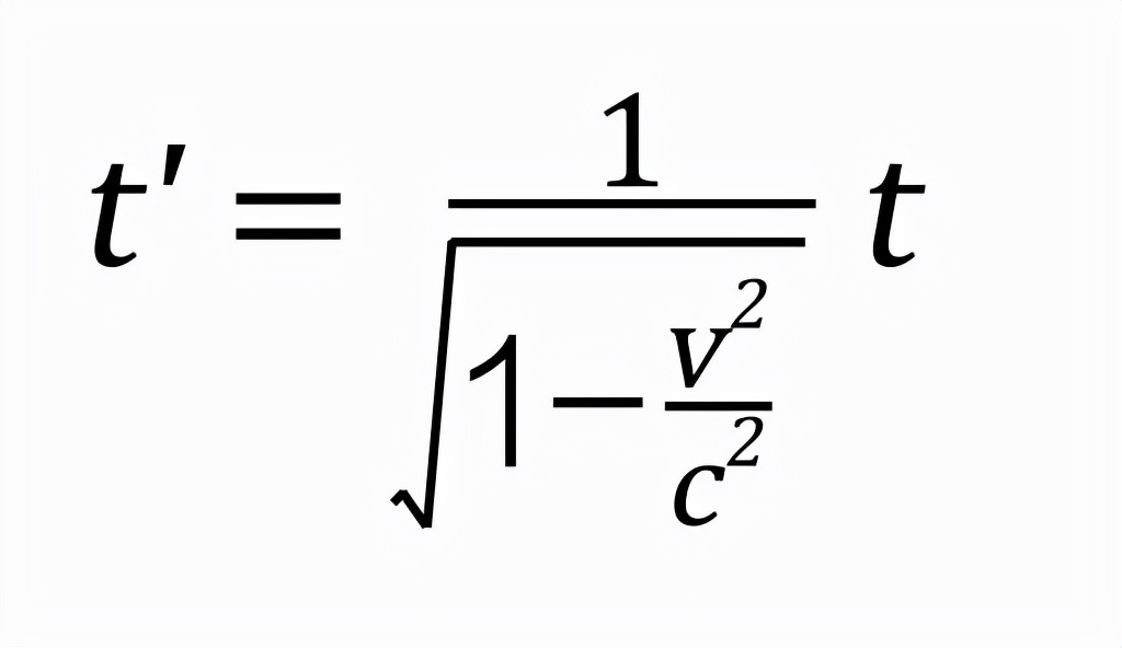
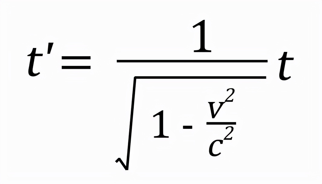
现在我们已经掌握了这个时间变换的神奇公式:
为了让这个公式看起来更加简洁一点,我们把
这个时间 t 前面的系数记为γ(读作伽马),于是可以把这个公式写作:t' =γt,这个γ就是流芳千古的「相对论因子」,也被称为「洛伦兹因子」。
你可能奇怪为什么不叫爱因斯坦因子,那是因为荷兰物理学家洛伦兹(lorentz,1853-1928)首先写出了这个式子,但他没有深刻认识到这个式子的时空含义。
洛伦兹是绝对时空观和以太的捍卫者,因此在相对论问世后,洛伦兹与爱因斯坦有过许多争论,不过这并不影响两人建立起深厚的友谊和合作关系。关于洛伦兹的事情我们很快还要提到,这里先放一放,让我们来继续思考时间变慢意味着什么。
你可能已经在心底欢呼终于找到了长寿的秘诀,因为运动的速度越快,时间就能变得越慢。姑且认为这没错,那么让我们来粗略地计算一下,你到底能年轻多少呢?先从坐火车开始吧,近似地认为现在火车的速度是 200 千米/小时,也就是 55 米/秒,相对论因子γ≈1.000000017。
什么意思?也就是说在这列火车上坐了 100 年以后,你下了车,会发现比你的双胞胎兄弟年轻了 53.6 秒。火车太废柴了,你暗骂一声,给我换飞机。好,那我们就换飞机吧,飞机的速度大概是 300 米/秒,γ≈1.0000005,就是说你坐飞机 100 年以后下来,年轻了 26.3 分钟。原来飞机也这么废柴,你有点怒了,给我换登月飞船。
满足你,我把你换到登月飞船上。登月飞船的速度是 10500 米/秒,γ≈1.000613063,就是说你在登月飞船上飞 100 年下来后,年轻了 22.4 天。 这次你可能真的发火了,什么?登月飞船上飞 100 年也只能年轻 22.4 天?
这叫什么世道啊。给我快、快、快,再快一点!在你的淫威之下,我发明了速度可以达到 0.9c 的飞船,现在坐上这艘飞船会发生什么呢?相对论因子达到了 2.3,也就是说你的衰老速度差不多只相当于地面上人的一半,你的 1 年等于他们的 2.3 年,这个γ的神奇之处在于它会随着速度接近光速而迅速增大。
比如我们的速度如果能达到 0.99c,则γ≈7,也就是你的 1 年相当于地球人的 7 年,如果达到了 0.99999c,则γ≈224,你的 1 年比地球人的两个世纪还长。我们不用再算下去了,因为我知道你已经禁不住开始狂喜了,哈哈哈!原来长生不老真的可以实现啊。对不起,我不得不再次粉碎你的这个长生不老的梦。
我的计算确实没错,如果你坐上 0.99999c 的飞船飞了 1 年后回来,地球确实已经过去了 224 年之久,但是对于你自己的感受来说,你真真切切的还是只活了 1 年,一秒钟也不会多,一秒钟也不会少。
如果你的寿命是 100 年,你一直在飞船上飞,当你回到地球的时候,地球确确实实过去了 22400 年,但是对于你自己来说,仍然只能感受到你自己生命中的 100 年,一天也没多,一天也没少,每天仍然是 24 小时,1 小时仍然是 60 分钟。
只是在走出飞船舱门的那一刹那,你看见的地球上的景物,已经隔世。你用自己的一生验证了你向前穿梭了 22400 年的时间。从我们地球人的眼里来看,其实你也并没有比我们潇洒多少,虽然你的 1 分钟相当于我们的 224 分钟,可是在我们眼里,你的一切动作全都变慢了,我们吃一个包子 1 分钟就完了,而在我们眼里,你吃一个包子却要 224 分钟;我们打一个响指只用 1 秒钟,而在我们眼里,你却花了 224 秒钟才慢慢腾腾地把一个响指打完。
我们在地球上仰望着飞船中的你,感慨道:「噢,可怜的人啊,行动得比蜗牛还慢,活着还有什么意思呢?」
所以,很遗憾,相对论无法让你长寿。
伽利略的相对性原理这把「倚天剑」,已经被爱因斯坦用他的相对性原理斩为了两截,那伽利略变换呢?伽利略变换此时在你的心中可能也会变得不那么天经地义了,看了前面那些由光速不变推导出来的奇怪结果,你可能已经意识到伽利略变换多半也是站不住脚的。
你的想法非常正确,伽利略变换这把「屠龙刀」也早就保不住「武林盟主」的地位了。事实上早在 1895 年,一位叫作洛伦兹的中年侠士,就已经不把伽利略变换这把「屠龙刀」放在眼里了。
下面,让我来隆重介绍本书最重要的角色之一,来自荷兰的韩德瑞克·安通·洛伦兹先生。各位观众,还记得你们读中学的时候,老师让你们用手握住一个线圈,然后通过大拇指的方向来判断受力方向吗?大声回答我。
对了,很好,你们都还记得「左手定则」和「右手定则」吗?什么,你们恨死他了?哦,可以理解,我那个时候也跟你们一样,都快分不清自己的左右手了。电子在磁场中受到的力就是以洛伦兹先生命名的,叫作「洛伦兹力」,什么,我又勾起了你们痛苦的回忆?放轻松,放轻松,我们今天不考试。
洛伦兹在那个年代的物理学界有多出名,有两个事情可以说明。第一件事情,洛伦兹是索尔维会议的定期主席(1911-1927),一直担任到临终前一年。可能你不知道索尔维会议有多牛,那你总知道体育盛会里奥运会最牛,财主盛会里 500 强财富论坛最牛吧。物理学家的会议里就是索尔维会议最牛了(当然是在 20 世纪早期)。无图无真相,现在上图:
1927 年第五届索尔维会议
这张图片有很多别名,列举一二:物理学全明星梦之队合影、科学史上最珍贵的照片、地球上 1/3 最具智慧的大脑合影。看到没,爱因斯坦居中而坐,他的旁边就是洛伦兹,其他人的名字我就不多说了。
无数学校大楼的走廊上、教室里,都挂着这些人的头像,对这些名字你多多少少都会看着眼熟的。
第二件事情,洛伦兹于 1928 年 2 月 4 日在荷兰哈勃姆去世,终年 75 岁。举行葬礼那天,荷兰全国电信、电话中止三分钟,全世界的科学大师齐聚荷兰,爱因斯坦在他的墓前致悼词。
爱因斯坦的悼词中有这样一句话:「洛伦兹先生对我产生了最伟大的影响,他是我们这个时代最伟大、最高尚的人。」
看到此处,相信你对洛伦兹的敬仰已经如滔滔江水了,我也一样。洛伦兹是电磁理论方面的大师级人物,麦克斯韦的电磁方程组在洛伦兹眼里美得不可思议,多少次在梦中都惊叹它的简洁、深刻和美。
但是,洛伦兹在研究电子运动的时候,惊讶地发现,伽利略变换和麦克斯韦方程组不可能同时正确,这件事情让洛伦兹非常郁闷,伽利略变换似乎是天经地义的,但是麦克斯韦的方程组更是神圣的。
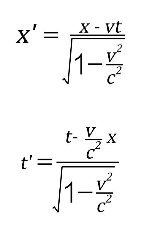
经过一番痛苦的纠结,洛伦兹决定放弃伽利略变换式,麦克斯韦的电磁方程组是神圣不可侵犯的,既然伽利略变换式没法运用到电子的运动上,那什么样的坐标系变换式能呢?洛伦兹用他高超的数学技巧,通过微积分推出了一个变换式,如果用这个坐标变换式取代伽利略的变换式,就和麦克斯韦的电磁方程组不矛盾了。洛伦兹在 1904 年正式发表了这个著名的变换公式:
这个式子被人们称为「洛伦兹变换」,在这个式子里面我们看到了熟悉的
,这就是为什么把它叫做洛伦兹因子的原因。你可能有点被搞糊涂了,我们前面亲手推导出来的 t』 和 t 之间的关系式好像不是这样的嘛?
在这里我要提醒我亲爱的读者,你一定要明白坐标变换的概念。
所谓坐标变换,就是当你的参照系(不是你自己运动,是你的参照系)在你面前运动的时候,你所处的坐标在运动前和运动到「某一时刻」时所处的新坐标之间的关系。
这个关系代表着我们对这个世界中运动和运动之间最本质的认识,换句话说,也就是小红眼中的世界和小明眼中的世界到底有什么不同。
所以,洛伦兹变换中的 t 代表的是「时刻」「时点」,而我们之前那个时间和速度的公式中的 t 代表的是「时长」「间隔」。这里还要说明的是,在洛伦兹心目中,变换所引入的量仅仅被看作是数学上的辅助手段,并不具有物理本质。
洛伦兹可是权威啊!他的这个变换式一经发表,立即引起强烈反响,各界纷纷响应,有赞扬的,有拍马屁的,有质疑的,有惊讶的,当然也有大受启发的(比如当时还默默无闻的小爱同志)。
下面是虚构的一场新闻发布会,发布会的主角是洛伦兹,接受全世界同行的提问。请注意这场发布会的时间是 1904 年,相对论还没有发表,人们对 mm 实验的结果还在争论不休。
问:「洛伦兹先生,我们注意到您这个新的变换式中含有光速这个参数,很让我们费解,为什么参考系的运动引起的坐标变换,会跟光速 c 相关呢?」
洛伦兹:「因为电和磁也是运动的一种方式,在考虑它们的运动时,就必然会引出光速这个常数来,至于普通物体的运动为什么会跟光速相关我一下子也说不明白,总之普通物体的运动速度相较光速来说,都小到可以忽略不计,对最终的结果似乎没有什么影响。」
问:「先生,按照您这个公式,一列火车在运动的时候,如果车头取的坐标是 x1,车尾的坐标是 x2,火车的长度就是 x2- x1,根据这个新变换式,我做了一个简单的计算,我发现火车在运动的时候长度居然比静止的时候缩短了,这也有点太不可思议了吧?」
洛伦兹:「根据我的公式,结果确实如你所说,虽然听起来很荒谬,但是我认为这是有可能的,而且有实验可以支持这个现象,就是著名的麦克尔逊-莫雷实验。在这个实验中,我们之所以没有发现干涉条纹的变化,正是因为实验设备在随着地球运动的时候,在运动方向上长度会发生收缩,这个效应刚好抵消了光速的变化。而且根据我的公式计算出来的结果,和实验的结果也吻合得非常好。」
问:「那您依然认为以太是存在的吗?」
洛伦兹:「那当然,以太是一定存在的,我们总会在实验室里把它揪出来的。」
问:「在您的公式中,我还发现一个神奇的地方,时间 t』跟速度 v 和光速 c 以及坐标 x 都有关系,坦诚地说,这让我们很费解。难道时间的流逝是不均匀的吗?跟速度相关吗?」
洛伦兹:「千万不要那么想,这只是一种数学的辅助手段而已,时间就是时间,那是上帝主宰的东西,别想打时间的主意。」
问:「您仍然支持牛顿的绝对时空观吗?」
洛伦兹:「当然,毫无疑问。」
新闻发布会在各界的热烈讨论中结束。
洛伦兹变换式发表的时候已经 51 岁了,人年纪一大,往往就容易失去勇气和丰富的想象力,这导致洛伦兹与伟大的相对论失之交臂。
历史有时候真是很有戏剧性,虽然洛伦兹先于爱因斯坦写出了流芳千古的公式,但是,虽曰同工实属异曲,洛伦兹看不穿皇帝的新衣,没有大胆地抛弃以太,也没有大胆地突破牛顿的绝对时空观,在回答时间 t』为什么会跟速度相关时,含含糊糊,连自己都说服不了自己。
在洛伦兹的脑子里,绝对时空观是神圣不可侵犯的,他一直到死都没有放弃证实以太的存在。一个不可否认的事实是,近 100 年以来,物理学上取得的几乎所有重大突破,都是杰出的科学家们在 30 岁左右的时候取得的,量子力学更是被戏称为「男孩物理学」,连爱因斯坦这样伟大的天才,在他人生中的后 30 年中也没有取得什么重大成就。
有一句流传很广的话是这么说的:「如果爱因斯坦在他 38 岁的时候死了,那么今天这个世界不会有什么不同。」 各位亲爱的读者,如果你现在正值 20 来岁的大好青春年华,请接受我对你的羡慕,你很有可能跨入「男孩」们的行列。
1905 年,被称为物理学的「奇迹年」,因为爱因斯坦在这一年中连续发表了 5 篇论文,每篇论文都像一颗耀眼的超新星照亮了宇宙,改变了物理学的纪元。
动作片51号公式全集高清观看由4m影院整理于网络,并免费提供51号公式高清剧照,51号公式百度云在线播放等资源,在线播放有酷播,腾讯视频,优酷视频,爱奇艺视频等多种在线播放模式,在播放不流畅的情况下可以尝试切换播放源。如果你喜欢这部片子,可以分享给你的亲朋好友一起免费观看。4m影院收集各类经典电影,是电影爱好者不二的网站选择!
